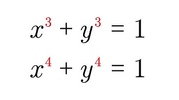
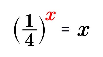
Algebra Problem | Mathematical Olympiad | How Can You Solve It🤔 @studentsmath2046 @mathwindow

Tonton & Download Video Musik Gratis

⬇ DOWNLOAD NOW
Kalau muncul iklan pop-up, tutup lalu klik tombol kembali

Download lagu Algebra Problem | Mathematical Olympiad | How Can You Solve It🤔 @studentsmath2046 @mathwindow secara gratis hanya untuk keperluan promosi. Dukung artis favorit kamu dengan membeli musik original di iTunes atau platform resmi lainnya.