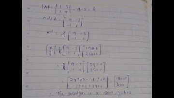
12th Maths Exercise 1.3 I(iii) sum : APPLICATION OF MATRICES AND DETERMINANTS: TN

Tonton & Download Video Musik Gratis

⬇ DOWNLOAD NOW
Kalau muncul iklan pop-up, tutup lalu klik tombol kembali

Download lagu 12th Maths Exercise 1.3 I(iii) sum : APPLICATION OF MATRICES AND DETERMINANTS: TN secara gratis hanya untuk keperluan promosi. Dukung artis favorit kamu dengan membeli musik original di iTunes atau platform resmi lainnya.