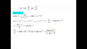
2012 HKDSE M1 Solution q2, Rate of change (變率), Differentiation(微分), Integration(積分)

Tonton & Download Video Musik Gratis

⬇ DOWNLOAD NOW
Kalau muncul iklan pop-up, tutup lalu klik tombol kembali

Download lagu 2012 HKDSE M1 Solution q2, Rate of change (變率), Differentiation(微分), Integration(積分) secara gratis hanya untuk keperluan promosi. Dukung artis favorit kamu dengan membeli musik original di iTunes atau platform resmi lainnya.