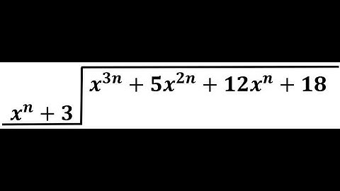
Ethiopian Grade 10 Maths Unit 1 p_7 division of polynomial function

Tonton & Download Video Musik Gratis

⬇ DOWNLOAD NOW
Kalau muncul iklan pop-up, tutup lalu klik tombol kembali

Download lagu Ethiopian Grade 10 Maths Unit 1 p_7 division of polynomial function secara gratis hanya untuk keperluan promosi. Dukung artis favorit kamu dengan membeli musik original di iTunes atau platform resmi lainnya.