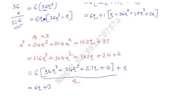
Show that the cube of a positive integer of the form 6q + r, q is an integer, r = 0, 1, 2, 3, 4, 5

Tonton & Download Video Musik Gratis

⬇ DOWNLOAD NOW
Kalau muncul iklan pop-up, tutup lalu klik tombol kembali

Download lagu Show that the cube of a positive integer of the form 6q + r, q is an integer, r = 0, 1, 2, 3, 4, 5 secara gratis hanya untuk keperluan promosi. Dukung artis favorit kamu dengan membeli musik original di iTunes atau platform resmi lainnya.