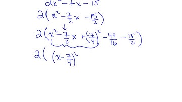
Factorisation d'un polynôme : explication de la complétion de carré | Mathématiques | Alloprof

Tonton & Download Video Musik Gratis

⬇ DOWNLOAD NOW
Kalau muncul iklan pop-up, tutup lalu klik tombol kembali

Download lagu Factorisation d'un polynôme : explication de la complétion de carré | Mathématiques | Alloprof secara gratis hanya untuk keperluan promosi. Dukung artis favorit kamu dengan membeli musik original di iTunes atau platform resmi lainnya.