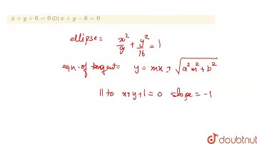
On the ellipse 4 x^2+9 y^2=1, the points at which the tangents are parallel to line 8 x=9 y are: ...

Tonton & Download Video Musik Gratis

⬇ DOWNLOAD NOW
Kalau muncul iklan pop-up, tutup lalu klik tombol kembali

Download lagu On the ellipse 4 x^2+9 y^2=1, the points at which the tangents are parallel to line 8 x=9 y are: ... secara gratis hanya untuk keperluan promosi. Dukung artis favorit kamu dengan membeli musik original di iTunes atau platform resmi lainnya.