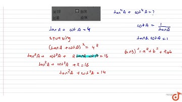
If `tan A + 2 tan 2 A + 4 tan 4A + 8 cot 8A = k cot A,` then find the value of `k.`

Tonton & Download Video Musik Gratis

⬇ DOWNLOAD NOW
Kalau muncul iklan pop-up, tutup lalu klik tombol kembali

Download lagu If `tan A + 2 tan 2 A + 4 tan 4A + 8 cot 8A = k cot A,` then find the value of `k.` secara gratis hanya untuk keperluan promosi. Dukung artis favorit kamu dengan membeli musik original di iTunes atau platform resmi lainnya.