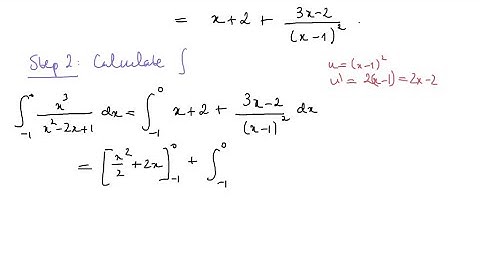
Express the integrad as a sum of partial fractions and evaluate the integrals. ∫x^2+x/…

Tonton & Download Video Musik Gratis

⬇ DOWNLOAD NOW
Kalau muncul iklan pop-up, tutup lalu klik tombol kembali

Download lagu Express the integrad as a sum of partial fractions and evaluate the integrals. ∫x^2+x/… secara gratis hanya untuk keperluan promosi. Dukung artis favorit kamu dengan membeli musik original di iTunes atau platform resmi lainnya.