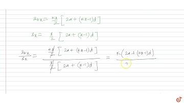
Consider an AP with first term a and the common difference d. Let S k denote the sum of its first k

Tonton & Download Video Musik Gratis

⬇ DOWNLOAD NOW
Kalau muncul iklan pop-up, tutup lalu klik tombol kembali

Download lagu Consider an AP with first term a and the common difference d. Let S k denote the sum of its first k secara gratis hanya untuk keperluan promosi. Dukung artis favorit kamu dengan membeli musik original di iTunes atau platform resmi lainnya.