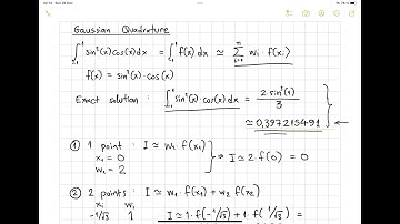
Lecture18_PartB: Gauss Quadrature Rule, Its optimality in 1D (FEM for Fluid Dyn-Sanjay Mittal)

Tonton & Download Video Musik Gratis

⬇ DOWNLOAD NOW
Kalau muncul iklan pop-up, tutup lalu klik tombol kembali

Download lagu Lecture18_PartB: Gauss Quadrature Rule, Its optimality in 1D (FEM for Fluid Dyn-Sanjay Mittal) secara gratis hanya untuk keperluan promosi. Dukung artis favorit kamu dengan membeli musik original di iTunes atau platform resmi lainnya.