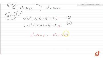
If (x+a) is a factor of two polynomials x^2+p x+q and x^2+m x+n, then prove that a=n-q/m-p

Tonton & Download Video Musik Gratis

⬇ DOWNLOAD NOW
Kalau muncul iklan pop-up, tutup lalu klik tombol kembali

Download lagu If (x+a) is a factor of two polynomials x^2+p x+q and x^2+m x+n, then prove that a=n-q/m-p secara gratis hanya untuk keperluan promosi. Dukung artis favorit kamu dengan membeli musik original di iTunes atau platform resmi lainnya.