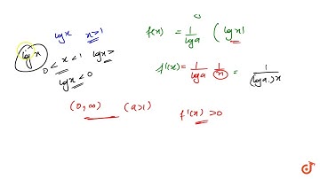
Show that f(x)=log _a x, 0a1 is a decreasing function for all x0.

Tonton & Download Video Musik Gratis

⬇ DOWNLOAD NOW
Kalau muncul iklan pop-up, tutup lalu klik tombol kembali

Download lagu Show that f(x)=log _a x, 0a1 is a decreasing function for all x0. secara gratis hanya untuk keperluan promosi. Dukung artis favorit kamu dengan membeli musik original di iTunes atau platform resmi lainnya.