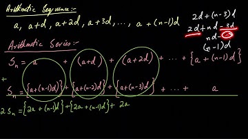
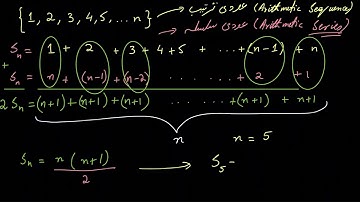
Arithmetic Series | How to find arithmetic series | Hindi/ Urdu

Tonton & Download Video Musik Gratis

⬇ DOWNLOAD NOW
Kalau muncul iklan pop-up, tutup lalu klik tombol kembali

Download lagu Arithmetic Series | How to find arithmetic series | Hindi/ Urdu secara gratis hanya untuk keperluan promosi. Dukung artis favorit kamu dengan membeli musik original di iTunes atau platform resmi lainnya.