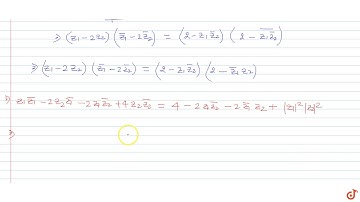
Let z_1 and z_2 be two complex numbers such that (z_1 ) ̅=i(z_2 ) ̅ and arg⁡〖(z_1/(z_2 ) ̅ )=π〗|#jee

Tonton & Download Video Musik Gratis

⬇ DOWNLOAD NOW
Kalau muncul iklan pop-up, tutup lalu klik tombol kembali

Download lagu Let z_1 and z_2 be two complex numbers such that (z_1 ) ̅=i(z_2 ) ̅ and arg⁡〖(z_1/(z_2 ) ̅ )=π〗|#jee secara gratis hanya untuk keperluan promosi. Dukung artis favorit kamu dengan membeli musik original di iTunes atau platform resmi lainnya.