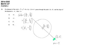
HKDSE Maths Paper 2 2019 - #26 Locus Coordinate Geometry

Tonton & Download Video Musik Gratis

⬇ DOWNLOAD NOW
Kalau muncul iklan pop-up, tutup lalu klik tombol kembali

Download lagu HKDSE Maths Paper 2 2019 - #26 Locus Coordinate Geometry secara gratis hanya untuk keperluan promosi. Dukung artis favorit kamu dengan membeli musik original di iTunes atau platform resmi lainnya.