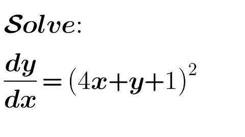
Solve dy/dx=(4x+y+1)^2 – Step-by-Step Tutorial | dy/dx=(4x+y+1)^2 Solve the Differential Equation

Tonton & Download Video Musik Gratis

⬇ DOWNLOAD NOW
Kalau muncul iklan pop-up, tutup lalu klik tombol kembali

Download lagu Solve dy/dx=(4x+y+1)^2 – Step-by-Step Tutorial | dy/dx=(4x+y+1)^2 Solve the Differential Equation secara gratis hanya untuk keperluan promosi. Dukung artis favorit kamu dengan membeli musik original di iTunes atau platform resmi lainnya.