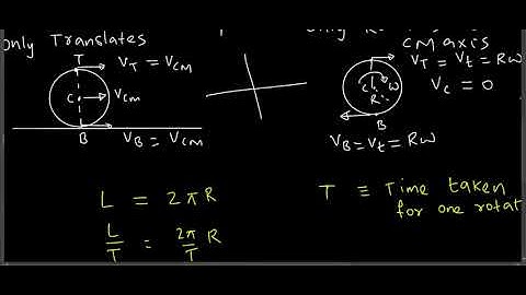
A disc of radius `R` rolls on a horizontal ground with linear acceleration `a` and angular accel...

Tonton & Download Video Musik Gratis

⬇ DOWNLOAD NOW
Kalau muncul iklan pop-up, tutup lalu klik tombol kembali

Download lagu A disc of radius `R` rolls on a horizontal ground with linear acceleration `a` and angular accel... secara gratis hanya untuk keperluan promosi. Dukung artis favorit kamu dengan membeli musik original di iTunes atau platform resmi lainnya.