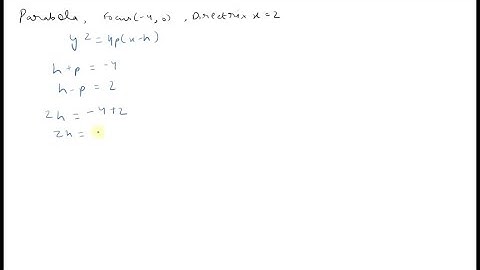
Find an equation for the conic that satisfies the given conditions. Parabola, focus (0, 0) , direct…

Tonton & Download Video Musik Gratis

⬇ DOWNLOAD NOW
Kalau muncul iklan pop-up, tutup lalu klik tombol kembali

Download lagu Find an equation for the conic that satisfies the given conditions. Parabola, focus (0, 0) , direct… secara gratis hanya untuk keperluan promosi. Dukung artis favorit kamu dengan membeli musik original di iTunes atau platform resmi lainnya.