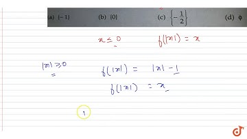
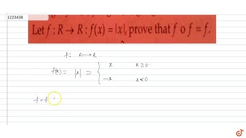
Consider the function `f : R^+ - gt R^+` defined by `f(x) = e^x, AA x in R`, where `R^+` denot

Tonton & Download Video Musik Gratis

⬇ DOWNLOAD NOW
Kalau muncul iklan pop-up, tutup lalu klik tombol kembali

Download lagu Consider the function `f : R^+ - gt R^+` defined by `f(x) = e^x, AA x in R`, where `R^+` denot secara gratis hanya untuk keperluan promosi. Dukung artis favorit kamu dengan membeli musik original di iTunes atau platform resmi lainnya.