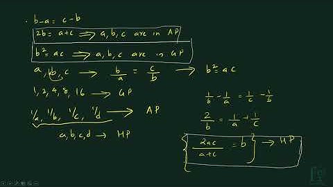
Roots are in A.P , G.P , H.P | THEORY OF EQUATIONS

Tonton & Download Video Musik Gratis

⬇ DOWNLOAD NOW
Kalau muncul iklan pop-up, tutup lalu klik tombol kembali

Download lagu Roots are in A.P , G.P , H.P | THEORY OF EQUATIONS secara gratis hanya untuk keperluan promosi. Dukung artis favorit kamu dengan membeli musik original di iTunes atau platform resmi lainnya.