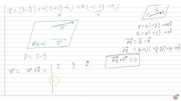
JEE MAINS 2018 Find the vector equation of the following plane in scalar product form: ` vec r=(...

Tonton & Download Video Musik Gratis

⬇ DOWNLOAD NOW
Kalau muncul iklan pop-up, tutup lalu klik tombol kembali

Download lagu JEE MAINS 2018 Find the vector equation of the following plane in scalar product form: ` vec r=(... secara gratis hanya untuk keperluan promosi. Dukung artis favorit kamu dengan membeli musik original di iTunes atau platform resmi lainnya.