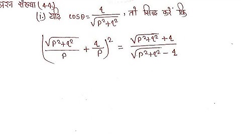
Kc Sinha Class 10 Ex 8.1 Solutions Q44 | Dr. K.C Sinha Class 10th Exercise 8.1 Q44 | Trigonometry

Tonton & Download Video Musik Gratis

тмЗ DOWNLOAD NOW
Kalau muncul iklan pop-up, tutup lalu klik tombol kembali

Download lagu Kc Sinha Class 10 Ex 8.1 Solutions Q44 | Dr. K.C Sinha Class 10th Exercise 8.1 Q44 | Trigonometry secara gratis hanya untuk keperluan promosi. Dukung artis favorit kamu dengan membeli musik original di iTunes atau platform resmi lainnya.