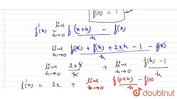
Let f(x) be a continuous and differentiable function satisfying f(x+y)=f(x) f(y) ∀ x, y ∈ R if f(...

Tonton & Download Video Musik Gratis

⬇ DOWNLOAD NOW
Kalau muncul iklan pop-up, tutup lalu klik tombol kembali

Download lagu Let f(x) be a continuous and differentiable function satisfying f(x+y)=f(x) f(y) ∀ x, y ∈ R if f(... secara gratis hanya untuk keperluan promosi. Dukung artis favorit kamu dengan membeli musik original di iTunes atau platform resmi lainnya.