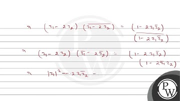
If z1, z2 are 2 distinct complex number such that |z1-2z2/1/2z1z2|=2, then

Tonton & Download Video Musik Gratis

⬇ DOWNLOAD NOW
Kalau muncul iklan pop-up, tutup lalu klik tombol kembali

Download lagu If z1, z2 are 2 distinct complex number such that |z1-2z2/1/2z1z2|=2, then secara gratis hanya untuk keperluan promosi. Dukung artis favorit kamu dengan membeli musik original di iTunes atau platform resmi lainnya.