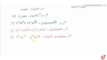
11 If a sin θ + b cos θ = c, then prove that a cos θ – b sin θ = √a^2+b^2−c^2

Tonton & Download Video Musik Gratis

⬇ DOWNLOAD NOW
Kalau muncul iklan pop-up, tutup lalu klik tombol kembali

Download lagu 11 If a sin θ + b cos θ = c, then prove that a cos θ – b sin θ = √a^2+b^2−c^2 secara gratis hanya untuk keperluan promosi. Dukung artis favorit kamu dengan membeli musik original di iTunes atau platform resmi lainnya.