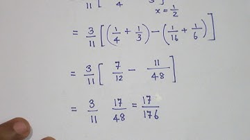
2D RV CORRELATION PROBLEM 1

Tonton & Download Video Musik Gratis

тмЗ DOWNLOAD NOW
Kalau muncul iklan pop-up, tutup lalu klik tombol kembali

Download lagu 2D RV CORRELATION PROBLEM 1 secara gratis hanya untuk keperluan promosi. Dukung artis favorit kamu dengan membeli musik original di iTunes atau platform resmi lainnya.