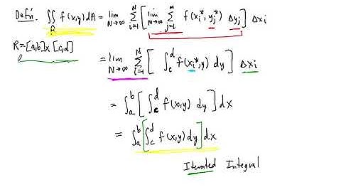
Double Integral Part 2: "Fubini's Theorem Of Iterated integration over rectangular region with e.g.

Tonton & Download Video Musik Gratis

⬇ DOWNLOAD NOW
Kalau muncul iklan pop-up, tutup lalu klik tombol kembali

Download lagu Double Integral Part 2: "Fubini's Theorem Of Iterated integration over rectangular region with e.g. secara gratis hanya untuk keperluan promosi. Dukung artis favorit kamu dengan membeli musik original di iTunes atau platform resmi lainnya.