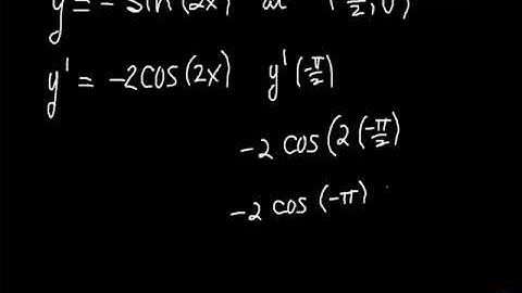
Tangent and normal lines with trig function; graphing and checking work; Zoom Square

Tonton & Download Video Musik Gratis

⬇ DOWNLOAD NOW
Kalau muncul iklan pop-up, tutup lalu klik tombol kembali

Download lagu Tangent and normal lines with trig function; graphing and checking work; Zoom Square secara gratis hanya untuk keperluan promosi. Dukung artis favorit kamu dengan membeli musik original di iTunes atau platform resmi lainnya.