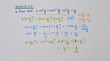
Class 11 Exercise 3.3 Questions 2 Prove that: 2sin^2(π/6)+cosec^2(7π/6)cos^2(π/3)=3/2

Tonton & Download Video Musik Gratis

⬇ DOWNLOAD NOW
Kalau muncul iklan pop-up, tutup lalu klik tombol kembali

Download lagu Class 11 Exercise 3.3 Questions 2 Prove that: 2sin^2(π/6)+cosec^2(7π/6)cos^2(π/3)=3/2 secara gratis hanya untuk keperluan promosi. Dukung artis favorit kamu dengan membeli musik original di iTunes atau platform resmi lainnya.