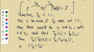
To prove that if AB = I then BA = I for any matrices A , B where I is the Identity matrix

Tonton & Download Video Musik Gratis

⬇ DOWNLOAD NOW
Kalau muncul iklan pop-up, tutup lalu klik tombol kembali

Download lagu To prove that if AB = I then BA = I for any matrices A , B where I is the Identity matrix secara gratis hanya untuk keperluan promosi. Dukung artis favorit kamu dengan membeli musik original di iTunes atau platform resmi lainnya.