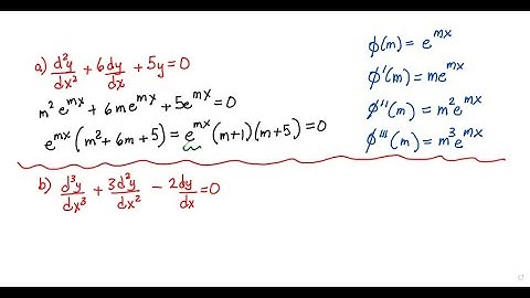
Number of values of m ∈ N for which y=e^m x is a solution of the differential equation d^3 y/d x^...

Tonton & Download Video Musik Gratis

⬇ DOWNLOAD NOW
Kalau muncul iklan pop-up, tutup lalu klik tombol kembali

Download lagu Number of values of m ∈ N for which y=e^m x is a solution of the differential equation d^3 y/d x^... secara gratis hanya untuk keperluan promosi. Dukung artis favorit kamu dengan membeli musik original di iTunes atau platform resmi lainnya.