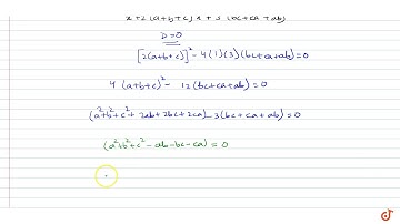
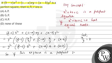
Show that If `a(b-c) x^2 + b(c-a) xy + c(a-b) y^2 = 0` is a perfect square, then the quantit...

Tonton & Download Video Musik Gratis

⬇ DOWNLOAD NOW
Kalau muncul iklan pop-up, tutup lalu klik tombol kembali

Download lagu Show that If `a(b-c) x^2 + b(c-a) xy + c(a-b) y^2 = 0` is a perfect square, then the quantit... secara gratis hanya untuk keperluan promosi. Dukung artis favorit kamu dengan membeli musik original di iTunes atau platform resmi lainnya.