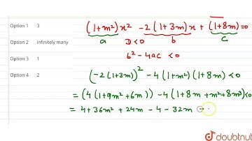
The number of integral values of m for which the quadratic expression, (1+2  m) x^2-2(1+3  m) x+4...

Tonton & Download Video Musik Gratis

⬇ DOWNLOAD NOW
Kalau muncul iklan pop-up, tutup lalu klik tombol kembali

Download lagu The number of integral values of m for which the quadratic expression, (1+2  m) x^2-2(1+3  m) x+4... secara gratis hanya untuk keperluan promosi. Dukung artis favorit kamu dengan membeli musik original di iTunes atau platform resmi lainnya.