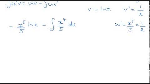
OCR Core 4 June 2008 q8ii - A2 - Maths - Integration by Substitution

Tonton & Download Video Musik Gratis

⬇ DOWNLOAD NOW
Kalau muncul iklan pop-up, tutup lalu klik tombol kembali

Download lagu OCR Core 4 June 2008 q8ii - A2 - Maths - Integration by Substitution secara gratis hanya untuk keperluan promosi. Dukung artis favorit kamu dengan membeli musik original di iTunes atau platform resmi lainnya.