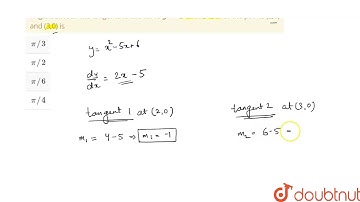
The angle between x-axis and tangent of the curve `y=(x+1) (x-3)` at the point (3,0) is

Tonton & Download Video Musik Gratis

⬇ DOWNLOAD NOW
Kalau muncul iklan pop-up, tutup lalu klik tombol kembali

Download lagu The angle between x-axis and tangent of the curve `y=(x+1) (x-3)` at the point (3,0) is secara gratis hanya untuk keperluan promosi. Dukung artis favorit kamu dengan membeli musik original di iTunes atau platform resmi lainnya.