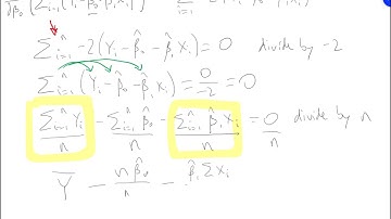
Simple Linear Regression: Derivation of the Variance of the Intercept and Slope

Tonton & Download Video Musik Gratis

⬇ DOWNLOAD NOW
Kalau muncul iklan pop-up, tutup lalu klik tombol kembali

Download lagu Simple Linear Regression: Derivation of the Variance of the Intercept and Slope secara gratis hanya untuk keperluan promosi. Dukung artis favorit kamu dengan membeli musik original di iTunes atau platform resmi lainnya.