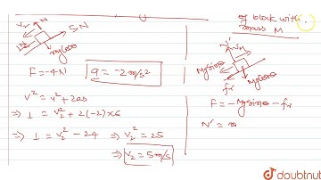
Two blocks of mass 2kg and M are at rest on an inclined plane and are separated by a distance of....

Tonton & Download Video Musik Gratis

⬇ DOWNLOAD NOW
Kalau muncul iklan pop-up, tutup lalu klik tombol kembali

Download lagu Two blocks of mass 2kg and M are at rest on an inclined plane and are separated by a distance of.... secara gratis hanya untuk keperluan promosi. Dukung artis favorit kamu dengan membeli musik original di iTunes atau platform resmi lainnya.