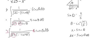
AP Calculus BC - Spring 2021 - Trigonometric Substitution - Part 1

Tonton & Download Video Musik Gratis

⬇ DOWNLOAD NOW
Kalau muncul iklan pop-up, tutup lalu klik tombol kembali

Download lagu AP Calculus BC - Spring 2021 - Trigonometric Substitution - Part 1 secara gratis hanya untuk keperluan promosi. Dukung artis favorit kamu dengan membeli musik original di iTunes atau platform resmi lainnya.