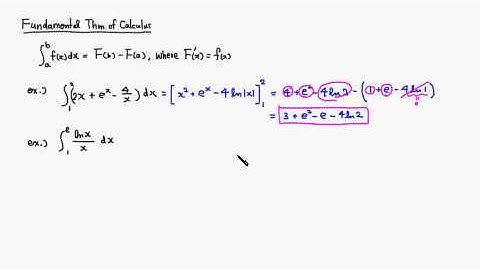
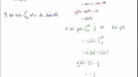
5.4 Ex. 3 Fundamental Theorem of Calculus and U-sub

Tonton & Download Video Musik Gratis

⬇ DOWNLOAD NOW
Kalau muncul iklan pop-up, tutup lalu klik tombol kembali

Download lagu 5.4 Ex. 3 Fundamental Theorem of Calculus and U-sub secara gratis hanya untuk keperluan promosi. Dukung artis favorit kamu dengan membeli musik original di iTunes atau platform resmi lainnya.