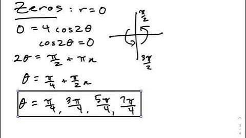
9.2 Example 4 - Symmetry, Zeros, and Maximum r-Values

Tonton & Download Video Musik Gratis

⬇ DOWNLOAD NOW
Kalau muncul iklan pop-up, tutup lalu klik tombol kembali

Download lagu 9.2 Example 4 - Symmetry, Zeros, and Maximum r-Values secara gratis hanya untuk keperluan promosi. Dukung artis favorit kamu dengan membeli musik original di iTunes atau platform resmi lainnya.