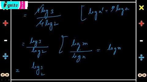
Class 9 Advanced Maths Chapter 3 Exercise 3.1 Question No.7 | ঘাতাংক | নৱম শ্ৰেণীৰ উচ্চ গণিত

Tonton & Download Video Musik Gratis

⬇ DOWNLOAD NOW
Kalau muncul iklan pop-up, tutup lalu klik tombol kembali

Download lagu Class 9 Advanced Maths Chapter 3 Exercise 3.1 Question No.7 | ঘাতাংক | নৱম শ্ৰেণীৰ উচ্চ গণিত secara gratis hanya untuk keperluan promosi. Dukung artis favorit kamu dengan membeli musik original di iTunes atau platform resmi lainnya.