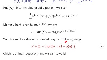
Differential Equation Topic: Bernoulli Equation Exercise # 2.5 Questions no 15

Tonton & Download Video Musik Gratis

⬇ DOWNLOAD NOW
Kalau muncul iklan pop-up, tutup lalu klik tombol kembali

Download lagu Differential Equation Topic: Bernoulli Equation Exercise # 2.5 Questions no 15 secara gratis hanya untuk keperluan promosi. Dukung artis favorit kamu dengan membeli musik original di iTunes atau platform resmi lainnya.