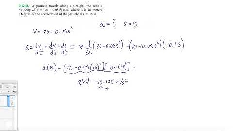
Problem F12-28 Dynamics Hibbeler 13th (Chapter 12)

Tonton & Download Video Musik Gratis

⬇ DOWNLOAD NOW
Kalau muncul iklan pop-up, tutup lalu klik tombol kembali

Download lagu Problem F12-28 Dynamics Hibbeler 13th (Chapter 12) secara gratis hanya untuk keperluan promosi. Dukung artis favorit kamu dengan membeli musik original di iTunes atau platform resmi lainnya.