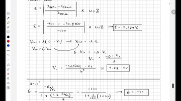
Closed Loop Gain Analysis by Prof Skip Laratonda. Tutoring available, please see link below:

Tonton & Download Video Musik Gratis

⬇ DOWNLOAD NOW
Kalau muncul iklan pop-up, tutup lalu klik tombol kembali

Download lagu Closed Loop Gain Analysis by Prof Skip Laratonda. Tutoring available, please see link below: secara gratis hanya untuk keperluan promosi. Dukung artis favorit kamu dengan membeli musik original di iTunes atau platform resmi lainnya.