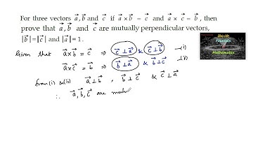
For any three vectors a,b and c find the value of ax(b+c)+bx(c+a)+cx(a+b)|Vector algebra|12|CBSE|CET

Tonton & Download Video Musik Gratis

⬇ DOWNLOAD NOW
Kalau muncul iklan pop-up, tutup lalu klik tombol kembali

Download lagu For any three vectors a,b and c find the value of ax(b+c)+bx(c+a)+cx(a+b)|Vector algebra|12|CBSE|CET secara gratis hanya untuk keperluan promosi. Dukung artis favorit kamu dengan membeli musik original di iTunes atau platform resmi lainnya.