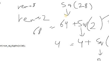
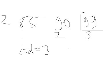
Computer ISC 2016 Theory Paper Question 10 Hindi(Code+Explanation)

Tonton & Download Video Musik Gratis

⬇ DOWNLOAD NOW
Kalau muncul iklan pop-up, tutup lalu klik tombol kembali

Download lagu Computer ISC 2016 Theory Paper Question 10 Hindi(Code+Explanation) secara gratis hanya untuk keperluan promosi. Dukung artis favorit kamu dengan membeli musik original di iTunes atau platform resmi lainnya.