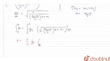
the linear density of a wire under tension t varies linearly from `mu_(1)` to `mu_(20`.Calculate the

Tonton & Download Video Musik Gratis

⬇ DOWNLOAD NOW
Kalau muncul iklan pop-up, tutup lalu klik tombol kembali

Download lagu the linear density of a wire under tension t varies linearly from `mu_(1)` to `mu_(20`.Calculate the secara gratis hanya untuk keperluan promosi. Dukung artis favorit kamu dengan membeli musik original di iTunes atau platform resmi lainnya.