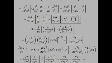
Problem 8.1 - Charge and Energy, Poynting’s Theorem: Introduction to Electrodynamics

Tonton & Download Video Musik Gratis

⬇ DOWNLOAD NOW
Kalau muncul iklan pop-up, tutup lalu klik tombol kembali

Download lagu Problem 8.1 - Charge and Energy, Poynting’s Theorem: Introduction to Electrodynamics secara gratis hanya untuk keperluan promosi. Dukung artis favorit kamu dengan membeli musik original di iTunes atau platform resmi lainnya.