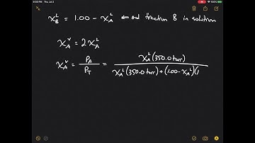
An ideal solution contains two volatile solute A(P°A=100 torr) and B(P°B=200 torr) A mixture contain

Tonton & Download Video Musik Gratis

⬇ DOWNLOAD NOW
Kalau muncul iklan pop-up, tutup lalu klik tombol kembali

Download lagu An ideal solution contains two volatile solute A(P°A=100 torr) and B(P°B=200 torr) A mixture contain secara gratis hanya untuk keperluan promosi. Dukung artis favorit kamu dengan membeli musik original di iTunes atau platform resmi lainnya.